试题详情
首页
考试分类
首页
国家电网招聘
自动控制类 (电网)
单选题
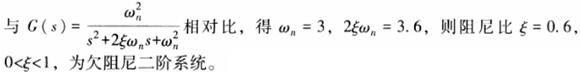
二阶环节G(s)= 10/(s2+3.6s+9)的阻尼比为()。
A
ζ=0.6
B
ζ=1.2
C
ζ=1.8
D
ζ=3.6
查看答案
正确答案
答案解析
相关试题
首页
每日一练
打赏一下
浏览记录