单选题
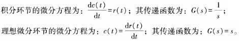
设积分环节和理想微分环节的微分方程分别为c"(t)= r(t)和c(t)=r""(t),则其传递函数分别为()。
AG(s)=s和G(s)=s
BG(s)=1/s和G(s)=1/s
CG(s)=s和G(s)=1/s
DG(s)=1/s和G(s)=s
AG(s)=s和G(s)=s
BG(s)=1/s和G(s)=1/s
CG(s)=s和G(s)=1/s
DG(s)=1/s和G(s)=s