试题详情
首页
考试分类
首页
国家电网招聘
环化材料类 (电网)
单选题
A
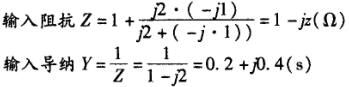
Z=(1-j2)Ω
B
Z=(1+j2)Ω
C
Y=(0.2-j0.4)s
D
Y=(0.4+j0.2)s
查看答案
正确答案
答案解析
相关试题
首页
每日一练
打赏一下
浏览记录