试题详情
首页
考试分类
首页
国家电网招聘
其他工学类 (电网)
单选题
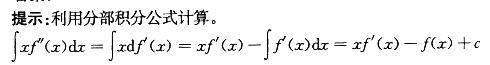
不定积分∫xf"(x)dx等于:
A
xf"(x)-f"(x)+c
B
xf"(x)-f(x)+c
C
xf"(x)+f"(x)+c
D
xf"(x)+f(x)+c
查看答案
正确答案
答案解析
相关试题
首页
每日一练
打赏一下
浏览记录