试题详情
首页
考试分类
首页
国家电网招聘
其他工学类 (电网)
问答题
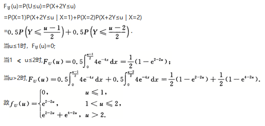
设随机变量X,y相互独立,且X~
,Y~E(4),令U=X+2Y,求U的概率密度.
查看答案
正确答案
答案解析
略
相关试题
首页
每日一练
打赏一下
浏览记录